点击关闭
  • 商标部

    国际商标部

    专利技术推广

    国际专利部

    版权部

    知识产权法务部

    科技成果转化部


    知识产权运营平台
    科技成果转化平台
新闻资讯
0631-5166712
公司动态
当前位置:首页 >新闻资讯 > 公司动态
涉外商标注册干货-美国商标申请介绍
添加时间:2019-02-27 文章来源:http://www.whhcip.com/  浏览次数: 3260
      在日益广泛的国际贸易活动过程中,知识产权的保护和运用日益突显,尤其是一些西方大国更加会利用知识产权来打击和钳制他国,令一些国家在知识产权方面苦不堪言,美国作为知识产权大国之一,其商标、专利等知识产权的申请、保护等知识也有待进行逐步的普及,作为一个专业的知识产权人士,在工作闲暇之余,逐步介绍一下一些国家的知识产权知识,以期对企业在商业活动中有所帮助。
前段时间我们同事分享了美国专利的申请介绍,今天就来介绍一下美国商标的申请事宜,分享给大家,如有不妥之处,还请不吝赐教。


美国商标的注册一般基于实际使用,但有两种情况注册前无需提交使用证据:

(1)以国外注册为基础注册的美国商标申请;
(2)马德里延伸到美国的商标申请。

商标申请的基础:
(1)基于在美国商业中的实际使用,即Use in commerce。
对于商品商标而言,商标可以使用于商品上、商品容器上或出现在关于商品的展示上,该商品必须在商业中实际销售或运输。
对于服务商标而言,服务商标必须通过商业销售或广告而实际使用或得到展示。
(2)基于在美国商业中的意向使用,即Intend to use。
意向使用是指申请人真诚地打算在美国商业中使用该申请的商标。此基础适用于在递交商标申请时并未使用过该商标的情形。但以此基础递交申请后于获得商标注册前必须在商业中实际使用该商标。基于此基础申请后,美国专利商标局会发出接受通知,即Notice of Allowance,申请人在接到此通知后应当在该通知签发之日起六个月内提交商标实际使用的声明。如果申请人在此阶段仍未在商业中实际使用该商标,须提交延期使用声明,即A Request for an Extension of Time to File a Statement of Use,以此获得六个月的延期,同时就每个类别须交纳150美金的延期费,否则该商标申请将被撤销。每六个月到期前,申请人可再申请六个月的延期,但自美国专利商标局发出接受通知之日起三十六个月内,申请人仍未提交实际使用的声明,该商标将最终不被授予注册。(美国商标专利局还是比较有耐心的)
(3) 基于在先六个月的优先权申请,即Foreign priority。
在本国申请之日起6个月内,可以基于申请人本国申请的优先权向美国递交商标申请,美国承认本国的申请日作为美国申请日。但以此基础申请美国商标获得注册的前提是本国商标要获得注册,如果本国商标最终在本国没有被获得注册,则在美国的申请也随之撤销。那么万一本国申请没有获得注册,但以此为基础的美国申请怎么办?
策略:如果本国无法获得注册, 但该商标已经在美国使用了(请注意这里是有条件的,是已经使用了),也可以将申请基础更改为意向使用, 通过提交在美国的使用证据获得授权。
(4)基于国外注册,即foreign registration,申请的同时提交本国注册证书原文及翻译,审查通过后,无需提交使用证明,商标会直接授权。

美国商标申请所需资料:
1)商标名称,商标图形(如果是设计商标);
1.1)是否请求颜色保护?
1.2)如果商标是非英文的,请提供英文译文;
1.3)如果商标有英文以外的其他含义,请提供信息;
1.4)如果商标含有中文或图形,USPTO 默认为设计商标; 如果是英文文字带设计,请确认要以标准文字提交还是带设计文字提交?
2)类别及产品/服务描述;
3)申请人英文名称、地址和国籍;
4)若是以已经使用商标提交,申请时需提供商标使用证据及在美国的最早使用日期,如果有在其他国家使用,也请告知最早使用的国家及日期;
5) 若是有国外申请的优先权,请提供优先权信息,授权前需提供国外注册证书及其翻译(若该证书不是英语的话);
6) 若是以国外注册申请美国商标, 则需提供国外注册证书及其翻译(若该证书不是英语的话)。

美国商标申请主要流程:
1) 提交商标申请(已使用商标,申请时需要一起提交使用证据);
2) 商标审查;
3) 公告(30 天);
4) 意向使用商标在收到notice of allowance 时需要提交商标使用证据;
5) 注册;
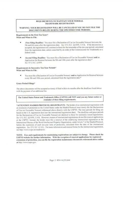
6) 注册日起第5-6 年需要提交商标继续使用声明;(提醒:美国商标注册成功后,请一定注意保留期间的使用证据)
7) 注册日起每10 年续展一次(续展时需要同时提交使用证据)



       美国商标注册着重基于使用和使用证据,按照不同的时间段官方要求主动提交,这不同于中国商标遇到撤三情况下被动提交使

用证据。美国商标申请获得注册的途径也较多,至于通过哪个途径更为方便、合理、便捷,这需要根据不同的申请人情况由我们经

验丰富的国际商标代理人给出具具体的可行性方案,以达到事半功倍的效果。毕竟,专业的事,还得专业的人来做。

       如您有任何关于威海涉外专利申请、威海高新认定的问题欢迎随时咨询威海商标专利事务所-威海惠诚知识产权代理有限公司,咨询热线:0631-5166712。我公司是专业的综合性知识产权服务机构,专业提供威海涉外专利申请、威海专利申请、威海高新认定、国内外商标注册、版权登记、技术转移、知识产权评估、高薪认定、贯标服务、知识产权维权诉讼等一站式全产业链知识产权服务机构。